Lecture 3. Effective diffusivity of Laminar Flows
W. R. Young
2000 年 12 月 07 日
目次
- 1 次元流の例
- 2 次元流れ
- 1 次元流の例
- 2 次元流れ
-
Cellular velocity fields
- 2 次元流れ 2 種類 :
,
- 境界条件 : x=0,Lx で c 固定,
y=0,Ly でフラックス 0 :
- セルの大きさに対する拡散時間より長い時間に対して
effective diffusivity の表現が良くなる
- effective は Peclet number
の関数
- フラックスは必ずしも gradient に平行にはならない.
-
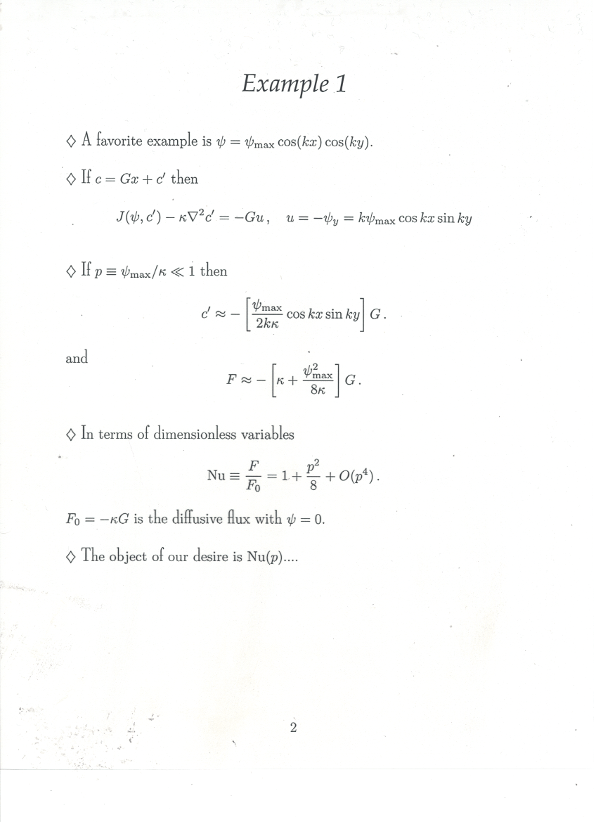
Example I
-
Peclet 数による定常解の違い
- Peclet 数が小さい場合は拡散解が少しゆがむだけ
- Peclet 数が大きな場合は境界層に集中
-
初期値からの時間発展
-
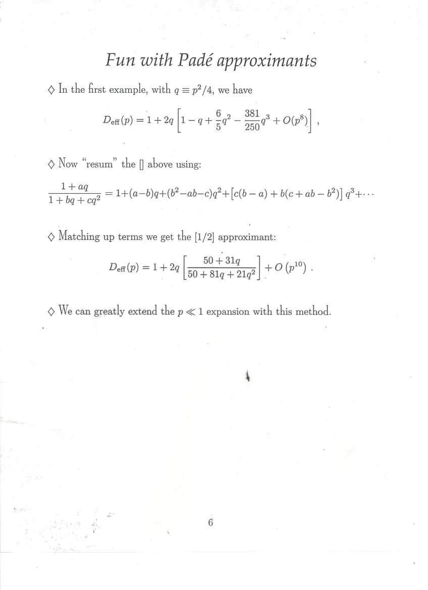
Nusselt 数の Peclet 数依存性
- p の次数をあげるといいとこまであう.
- p が大きいところは BLT
- [0/0],[1/1], [2/2] は Taylor 展開.
- [0/1], [1/2], [2/3] は Pate approximants の分子分母の次数.
- 同じ次数なら Pate approximants の方が収束がよい.
-
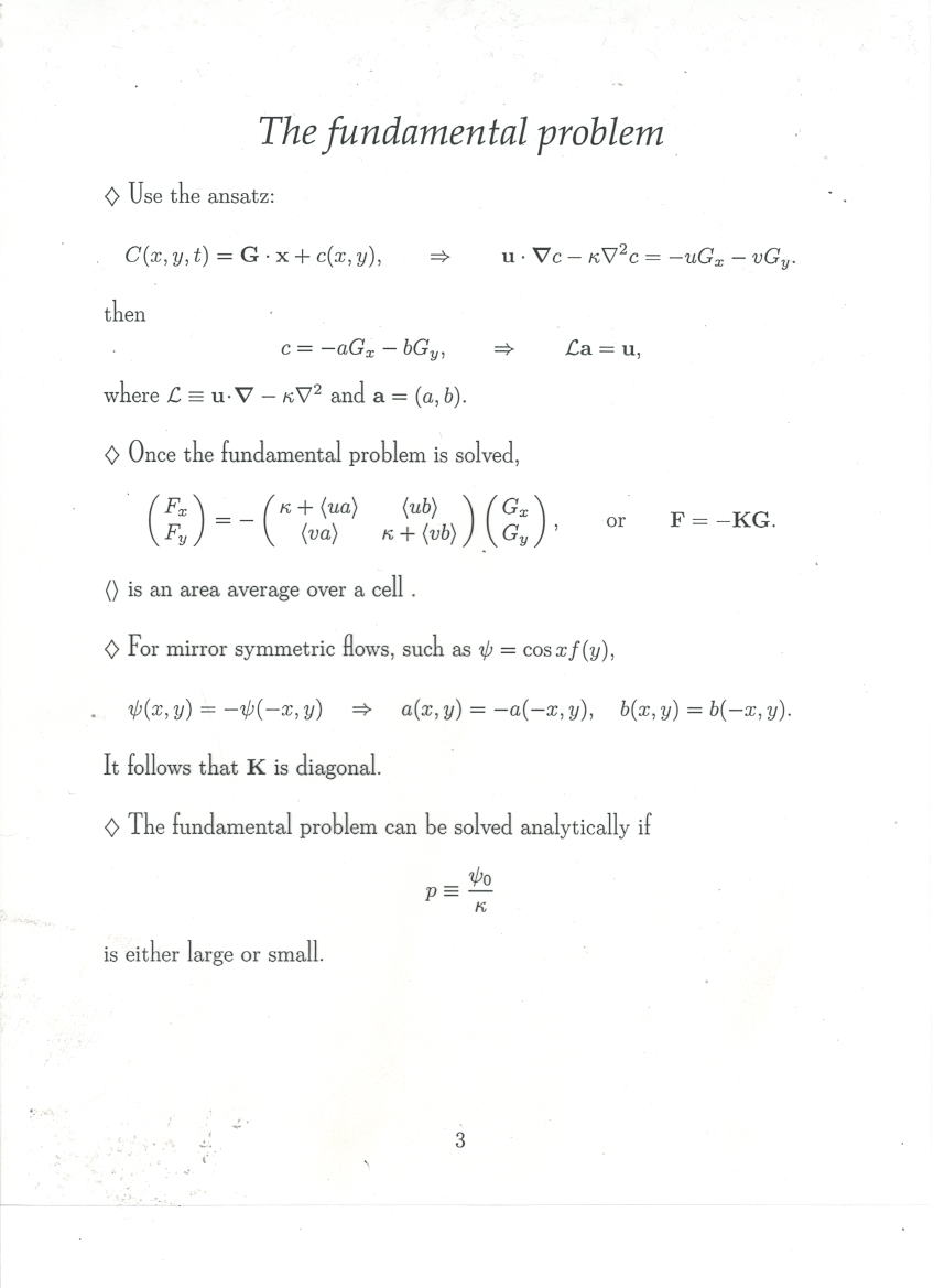
The fundamental problem
-
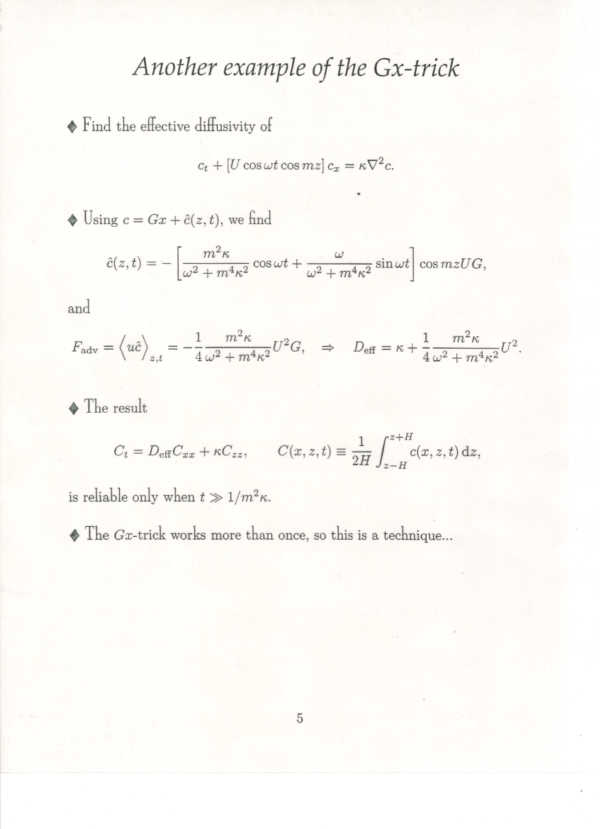
Example 1 again
- p に関する級数の形で Nusselt 数が求まる
- しかしながら p>2 では収束しない.
-
Example 1 again
- テイラー級数の代わりに, 二つの多項式の割算の形で表す.
Pade approximants.
- 級数の収束範囲は複素面内の特異点で制限されている.
たとえば
1/1+x2=1 - x2 + x4 は
収束半径が 1,
これは特異点が
にあるから.
- Pade approximants の方法で計算する方が Taylor 展開よりもよい.
前の図を参照せよ
-
ヌッセルト数のペクレ数依存性 : 修正版
- さらに p>>1 での漸近的振舞を知っていれば,
その解と接続することで十分良い答えが得られる.
- 境界層理論を使うと
を求められる.
-
Example 2
- 全て同じ向きに回る渦. Example I とは異なる対称性を持つ流れ.
- y 方向へのフラックスがある.
y=0 でのコンターの傾きがどこでも同じ.
y=0 を横切る流れがないので,
これは拡散に起因する.
Note that Example I ではコンターが傾いていない.
- Taylor の論文の
sitation index の変化
- Taylor の論文はいまだに refer されている.
地球流体セミナー運営グループ
2000/12/07 作成 (by 竹広真一)
2000/12/10 改訂 (by 竹広真一)