Lecture 5. Negative diffusivity
W. R. Young
2000 年 12 月 08 日
目次
- Negative diffusivity
- これまでは kinematic な問題を扱った. すなわちトレーサーは passive.
- ここでは dynamic な問題を扱う.
すなわちトレーサーは dynamically active.
- 安定成層をかき混ぜる実験で見られる層構造が negative diffusion に
起因することを示し, その基本的な定式化を示す.
-
Layers and Interfaces in a stratified turbulent fluid
(Young, Lelewllen-Smith, Balmforth)
- 層構造形成のモデルとして mixing length theory を用いた解析と計算
- 密度勾配の merge, fade out が良く再現できる.
- Negative diffusivity
- 思考実験 : 安定成層, linear な鉛直密度分布.
-
mixing の室内実験(Park, Whitehead, Gnanadeskian)
- 塩水が成層している状態と水が隣り合っている.
- 棒を一定スピードで動かして乱流を生成する.
- すると塩水境界が wavy になるようすが見られる.
- このような現象はこれまでに説明した Eddy diffusion では
説明できない. diffusion 型モデルでは線形分布の傾きが
弱くなるだけ
-
室内実験 : 密度, 勾配の時間変化
- Is turbulence stable? (Phillips 1972)
- 鉛直密度分布に階段状の構造
- 密度一様な層毎に turbulence が存在. 層間の境界では
安定成層なので乱流が抑えられている.
- 密度勾配のスパイクがだんだんくっついて行く様子が見られる.
-
室内実験 : 密度, 勾配の時間変化その 2
- 密度勾配のスパイクが単に消えて行くだけの場合もある : fade out
-
室内実験 : 密度, 勾配の時間変化その 3
- 密度分布によって全く振舞が異なる.
- 密度分布が重要 :
-
理論
- 密度勾配 g に対するフラックス f の関係
- 密度勾配が弱いと, 一様密度中の渦輸送.
- 密度勾配が強くなると, 成層で乱流が抑えられ, フラックスが減る
- さらに強くなるとやがて分子拡散による輸送が卓越する.
- この f 〜 g=b_z 関係を S-shaped curve と呼ぼう.
-
: negative diffusion という.
この定義は通常の negative difuusion の呼び方
とは
ことなる.
-
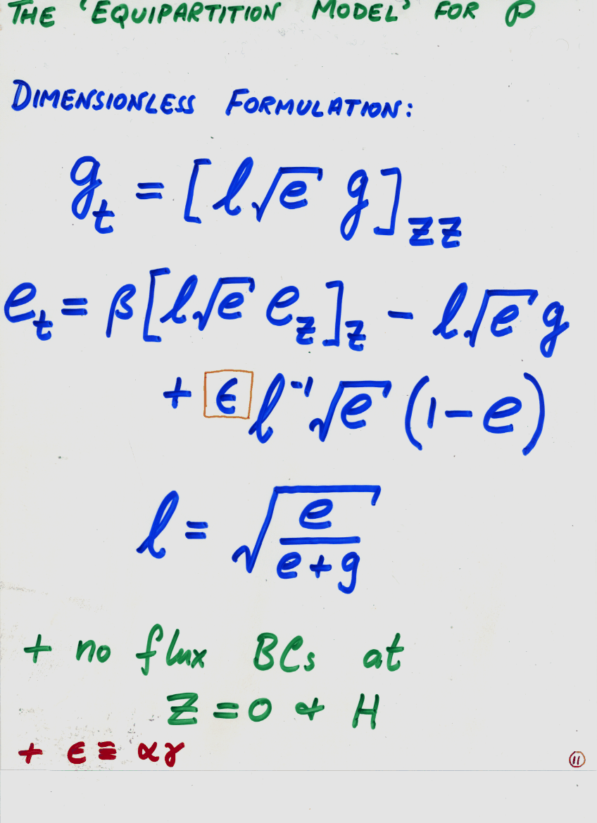
p2 モデル
- なぜ f/g でなく df/dg を用いて
negative diffusion と称すか?
-
層形成する不安定
- Negative diffusion : df/dg が層形成に重要な要素
-
Negative diffusion の簡単なモデル
- 周期的な強制による流れを考える.
- 浮力のフラックスの極限 : N2 が小さいと,
これまでのパッシブトレーサーの拡散.
流れによってフラックスが強化される.
- 浮力のフラックスの極限
: N2 が大きいと分子拡散が効くだけ
- N2が小さいところでの
df/dg (拡散係数)が大きいので
S 型の f-g 曲線になる.
-
Negative diffusion の簡単なモデル : エネルギー収支
- N2が大きいと注入されたエネルギーが
全て位置エネルギーへ変換される.
-
Layers and Interfaces in a stratified turbulent fluid
(Young, Llewellyn-Smith, Balmforth, JFM, 1998, vol.255, 329--358)
地球流体セミナー運営グループ
2000/12/08 作成 (by 竹広真一)
2000/12/10 改訂 (by 竹広真一)