next up previous
: 3. 力学過程の支配方程式系の導出 : dcpam5 支配方程式系の導出に関する参考資料 : 1. この文書について


2. 座標系の取り方

2.1 座標系の取り方

座標系は, 水平方向には緯度 $ \varphi$, 経度 $ \lambda$ を, 鉛直方向には $ \sigma $ をとる.

手順は以下の通りである.

  1. 惑星中心, 北極の向き, 赤道面内の経度0度の方向を決めて, 極座標系 $ (r,\lambda,\varphi)$ をとる 2.1.
  2. 各緯度経度において, 地表面気圧 $ p_s (\varphi, \lambda)$ をとる位置 $ r$ を決め, その$ r$の位置を高度 $ z = 0$とする.
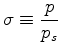
  3. 鉛直座標軸をとり直す. 気圧を $ p\ (\varphi, \lambda, z)$ として, $ {\displaystyle
\sigma \equiv \frac{p}{p_s} }$ を鉛直座標とする.



... をとる2.1
数学での極座標系は緯度でなく余緯度をとる.

next up previous
: 3. 力学過程の支配方程式系の導出 : dcpam5 支配方程式系の導出に関する参考資料 : 1. この文書について
Yasuhiro MORIKAWA 平成21年3月17日